- Authors

- Name
- Dendoink
- @Magiciaaaaaaaan

声明
作 React学习指北中,幸得此文,受益匪浅。
虽已有中译版,然细读之,察屡有误,故与作者通后更译,此新译之文,与诸君享。
正文
深入研究 React 称为 Fiber 的新架构,了解新 reconciliation 算法的两个主要阶段。
我们将详细介绍 React如何更新 state,props 和处理 children。
React 是一个用于构建用户交互界面的 JavaScript 库,其核心 机制 就是跟踪组件的状态变化,并将更新的状态映射到到新的界面。
这就是我们在 React 中熟知的 协调 。我们调用 setState ,而框架会检查 state 或 props 是否更新,以及是否在 UI 界面重新渲染组件。
React 文档提供了对该机制的高级概述 :
“React元素,生命周期方法和 render 方法的作用以及对组件的children所应用的 diffing 算法。从 render 方法返回的不可变 React 元素树,通常称为虚拟DOM。
在早期,这个术语有助于帮助人们理解 React,但也引起了混乱,并且在React文档中不再使用。”
在本文中,我将坚持将其称为: React元素树。
除了 React 元素树之外,该框架还有一个内部实例树(组件,DOM节点等)用于保持状态。
从版本16开始,React 推出了该内部实例树的新实现,以及对其进行管理的算法,代号为 Fiber。要了解 Fiber 架构带来的优势,请查看 React 为何以及如何在 Fiber 中使用链表。
这是该系列的第一篇文章,目的是为了让你了解 React 的内部体系结构。
在本文中,我会提供与算法有关的重要概念和数据结构的深入概述。 当我们拥有足够的背景知识之后,将开始探索用于遍历和处理 fiber 树的算法和主要函数。
该系列的下一篇文章将演示React如何使用该算法执行初始渲染和处理 state 和 props 的更新。
从那里开始,我们将继续讨论 scheduler 的细节, child reconciliation 过程以及构建 effects list 机制的细节。
在这里我会提供一些非常 “高级” 的知识给你,我鼓励你阅读它,以了解Concurrent(并发) React 内部运作背后的魔法。
如果有开始为 React 做贡献的打算,那么这一系列文章也会为你提供很好的指导。
我是一个 逆向工程死忠粉,因此在最新版本中将有很多链接到源 16.6.0。
肯定要花很多心思,所以如果你没有立刻领会某些内容,不要感到压力。 付出都是值得的。
请注意,你不需要了解任何使用 React 的内容。 本文是关于 React 的内部工作。
Setting the background
我将在整个系列中使用这个简单的应用程序:有一个按钮,点击可以增加屏幕上呈现的数字:

代码实现:
class ClickCounter extends React.Component {
constructor(props) {
super(props);
this.state = {
count: 0
};
this.handleClick = this.handleClick.bind(this);
}
handleClick() {
this.setState((state) => {
return {
count: state.count + 1
};
});
}
render() {
return [ <
button key = "1"
onClick = {
this.handleClick
} > Update counter < /button>, <
span key = "2" > {
this.state.count
} < /span>
]
}
}
可以在这里把玩这段代码,如你所见,这是一个简单组件,从 render() 方法中返回两个子元素 button 和 span 。
当你单击按钮时,组件的状态将被内部的 handler 更新,顺带的,这会导致 span 元素的文本更新。
React 在 协调(reconciliation) 期间执行各种活动。
例如,下面是 React 在简单组件的首次渲染中,以及 state 更新之后,执行的高级操作:
- 更新
ClickCounter组件中state的count属性。 - 检索并比较
ClickCounter的子组件和props。 - 更新
span的props。
协调(reconciliation) 期间也进行了其他活动,包括调用生命周期方法或更新 refs。这些活动在 Fiber 架构中被统称为 work。 work 的 type 通常取决于 React 元素的类型。
例如,对一个类组件而言,React 需要创建一个实例,而函数组件则无需执行此操作。
React 的有许多类型的 elements,例如类组件和函数组件, host 组件(DOM节点)等。
React 元素的类型由传入到 createElement 的第一个参数决定,通常在 render 方法中使用此函数来创建元素。
在我们开始探索活动细节和主要的 fiber 算法之前,让我们先熟悉 React 内部使用的数据结构。
从 React 元素到 Fiber 节点
React 中的每个组件都有一个 UI 表示,我们可以称之为从 render 方法返回的一个视图或模板。
这是 ClickCounter 组件的模板:
<button key="1" onClick={this.onClick}>Update counter</button>
<span key="2">{this.state.count}</span>
React 元素
模板通过JSX编译器后,将得到一堆React元素。下面是真正从 React 组件的 render 方法返回的结果(并不是 HTML)。
由于我们不需要使用JSX,因此可以将 ClickCounter 组件的 render 方法重写:
class ClickCounter {
...
render() {
return [
React.createElement(
'button', {
key: '1',
onClick: this.onClick
},
'Update counter'
),
React.createElement(
'span', {
key: '2'
},
this.state.count
)
]
}
}
render 方法调用的 React.createElement 会产生两个数据结构。
像这样:
[{
$$typeof: Symbol(react.element),
type: 'button',
key: "1",
props: {
children: 'Update counter',
onClick: () => {
...
}
}
},
{
$$typeof: Symbol(react.element),
type: 'span',
key: "2",
props: {
children: 0
}
}
]
可以看到 React 将属性 $$typeof 添加到这些对象中,作为 React 元素的唯一标识。
而且有 type 、 key 、和 props 这些属性对 React 元素进行描述。
它们的值来源于传递给 react.createElement 函数的参数。
请关注 React 是如何将文本内容表示为 span 和 button 的子节点的。
以及如何把 click 的 handler 描述为 button 里 props 的一部分。
React 元素还有其他的很多字段,比如 ref ,但是超出本文范围不作展开。
ClickCounter 对应的 React 元素不存在任何 props 或 key :
{
$$typeof: Symbol(react.element),
key: null,
props: {},
ref: null,
type: ClickCounter
}
Fiber nodes
在协调(reconciliation) 过程中,从 render 方法返回的每个 React element 的数据将被合并到 Fiber 节点树中,每个 React element 都有一个对应的 Fiber 节点。
与 React 元素不同, Fiber 并不是每次渲染都会重新创建,它们是用来保存组件 state 和 DOM 的可变数据结构。
之前聊到过,框架执行的活动,取决于 React 元素的类型。
在我们的示例中,对于类组件 ClickCounter 而言,它调用生命周期方法和 render 方法。
而对于 span host 组件(dom节点),执行 DOM 更新。
因此,每个 React 元素都被转换成 相应类型的 Fiber 节点,描述需要完成的工作。
[译者注:这里的类型是 WorkTag 每个类型是一个固定的数字,例如函数式组件对应的是 0 而类组件对应的是 1]
你可以将 Fiber 想象成一种数据结构,用来表示一些要做的工作,或者换句话说,一个工作单元。 Fiber 的架构还提供了一种方便的方式来跟踪、调度、暂停和中止工作。
当 React 元素第一次转换为 fiber 节点时,React在 createFiberFromTypeAndProps 函数中使用元素的数据来创建一个 Fiber 。
在后续更新中,React 复用了fiber节点,这意味着它只会根据数据发生改变的部分来更新对应的 fiber 节点中的属性。
如果从 render 方法不再返回相应的 React 元素,React 可能还需要根据 key 属性来移动或删除层级结构中的 fiber 节点。
深入 ChildReconciler 函数,了解所有活动的列表以及 React 为现有 fiber 节点执行的相应函数。
因为 React 为每个 React 元素创建一个 fiber 节点,并且我们已经有一个这些元素组成的树,所以我们将会得到一个fiber 节点树。这样的情况下,我们简单的示例看起来就像这样:

所有 fiber 节点使用这些属性: child 、 sibling 和 return 通过链接列表的形式连接在一起。
如果你想知道更多关于为什么要这样的更多信息,可以阅读这篇文章 The how and why on React’s usage of linked list in Fiber (如果你还没读过的话)
Current 树和 workInProgress 树
在第一次渲染之后,React 最终得到了一棵反映渲染出 UI 的应用程序 state 的 fiber 树。
这棵树通常被称为 current 树。当 React 开始处理更新时,它会构建一棵所谓的 workInProgress 树,反映将来要刷新到屏幕的 state。
所有的 work 都是在 workInProgress 树的 fibler 上进行的。当 React 遍历 current 树时,它为每个现有的光纤节点创建一个替代节点。
这些节点构成了 workInProgress 树。 它们用 render 方法返回的 React 元素的数据创建。
一旦处理完所有 update 并完成所有相关 work,React 将一棵准备好的备用树刷新到屏幕。
一旦在屏幕上渲染 workInProgress 树,它就成为了 current 树。
React 的核心原则之一 consistency (一致性)。
React总是一次性更新 DOM (它不会显示部分结果)。 workInProgress 树作为用户看不到的 “草稿”,以便 React 可以在处理所有组件之后,再将它们的更新刷新到屏幕上。
在源代码中,你会看到许多函数从 current 树和 workInProgress 树中获取 fiber 节点。下面是一个这样的函数的示例:
function updateHostComponent(current, workInProgress, renderExpirationTime) {
...
}
每个 fiber 节点都在 alternate 字段中保留了在另一棵树上其对应节点的引用。 current 树中的一个节点指向 workInProgress 树中的节点,反之亦然。
Side-effects 副作用
我们可以将 React 中的组件视为使用 state 和 props 来计算 UI如何呈现的函数。
除此之外的所有活动,例如,改变DOM 或调用生命周期方法,都应被视为 Side-effects ,或者简单地视为一种 effect。
在 文档里也有提及。
你之前可能已经在 React 组件中执行过获取数据、订阅或者 手动修改 DOM。我们统一把这些操作称为 “Side-effects”,或者简称为 “effect”。(因为它们会影响其他组件,并且在渲染期间无法完成。) ”
你可以看到大多数 state 和 props 的更新将如何导致 side-effects 。
而且,由于执行 effect 是一种 work,fiber 节点是一种跟踪更新效果的便捷机制。
每个fiber 节点都可以包含与其相关的 effect,在 effectTag 字段中。
因此,Fiber中的 effect 基本上定义了实例在处理更新后需要完成的 work:
- 对于 host 组件(dom元素),包括添加、更新或删除元素。
- 对于类组件,React 可能需要更新
refs并调用componentDidMount和componentDiddUpdate生命周期方法。 - 还有其他 effect 对应于其他类型的 fiber。
Effects 链表
React 执行 update 非常快,它采用了一些有趣的技术来达到这种性能水平:
建立具有 effect 的 fiber 节点的线性链表以实现快速迭代是其中之一。
迭代线性链表比树快得多,不需要花时间在没有 side-effects 的节点上。
该链表的目的是,标记具有 DOM 更新或与其他 effect 关联的的节点。
它是 finishedWork 树的子集,并且使用 nextEffect 属性而不是 current 树和 workInProgress 树中的 child 属性进行链接。
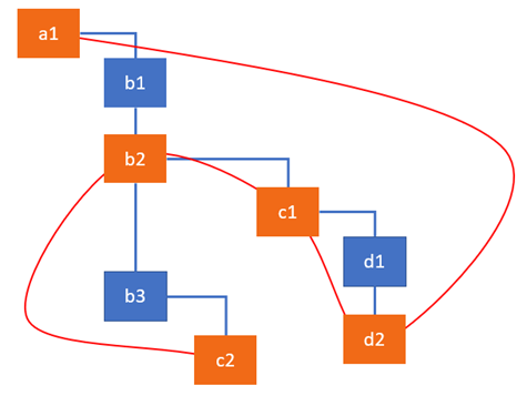
Dan Abramov 提出了一个 effect 链表的类比,把它想象成一棵圣诞树,"圣诞灯"把所有有效的节点绑在一起。
为了将其可视化,让我们想象下面的 fiber 节点树:
其中,高亮的节点有一些 work 要做,例如,我们的更新导致 c2 插入到 DOM 中。
d2 和 c1 更改属性, B2 触发生命周期方法。
effect 链表将它们链接在一起,以便 React 可以稍后跳过其他节点:

可以看到,具有 effect 的节点是如何链接在一起的。
当遍历节点时,React 使用 firstEffect 指针来确定列表的起始位置。所以上面的图表可以表示为这样的线性链表:

Fiber 树的根节点
每个 React 应用程序都有一个或多个充当容器 DOM 元素。在我们的例子中它是 ID 为 container 的 div 。
const domContainer = document.querySelector('#container');
ReactDOM.render(React.createElement(ClickCounter), domContainer);
React为每个容器创建一个 fiber root 对象。你可以使用 DOM 元素的引用来访问它:
const fiberRoot = query('#container')._reactRootContainer._internalRoot
这个 fiber root 是 React 保存对 fiber 树的引用的地方。存储在 fiber root 的 currrent 属性中:
const hostRootFiberNode = fiberRoot.current
Fiber 树以 特殊类型 的 fiber 节点 HostRoot 开始。
它是在内部创建的,并充当最顶层组件的父级。
HostRoot fiber 节点通过 stateNode 属性链接到 FiberRoot :
fiberRoot.current.stateNode === fiberRoot; // true
你可以通过 fiber root 访问最顶层的 HostRoot fiber 节点来探索 fiber tree。
或者,你可以从组件实例中获取单个 fiber 节点,像这样:
compInstance._reactInternalFiber
Fiber 节点结构
来看看为 ClickCounter 组件创建的 fiber 节点的结构:
{
stateNode: new ClickCounter,
type: ClickCounter,
alternate: null,
key: null,
updateQueue: null,
memoizedState: {
count: 0
},
pendingProps: {},
memoizedProps: {},
tag: 1,
effectTag: 0,
nextEffect: null
}
以及 span DOM 元素:
{
stateNode: new HTMLSpanElement,
type: "span",
alternate: null,
key: "2",
updateQueue: null,
memoizedState: null,
pendingProps: {
children: 0
},
memoizedProps: {
children: 0
},
tag: 5,
effectTag: 0,
nextEffect: null
}
fiber 节点上有很多字段。在前面已经描述过字段 alternate 、 effectTag 和 nextEfect 的用途。现在看看其他的字段的用途。
stateNode
保存对类组件实例,DOM 节点或与 fiber 节点关联的其他 React 元素类型的引用。 一般来说,此属性用于保存与 fiber 关联的 local state。
type
定义与此 fiber 关联的函数或类。 对于类组件,它指向构造函数,对于 DOM 元素,它指定 HTML 标记。
我把这个字段理解为 fiber 节点与哪些元素相关。
tag
定义 fiber类型,在 reconciliation 算法中使用它来确定需要完成的工作。
就像前面提到的,work 取决于 React 元素的类型。 createFiberFromTypeAndProps函数 将 React 元素映射到相应的 fiber 节点类型。
在我们的应用中, ClickCounter 组件的 tag 属性是 1 ,它表示 类组件 ;
而 span 元素的 tag 属性是 5 表示 HostComponent(宿主组件) 。
updateQueue
state 更新,回调以及 DOM 更新的队列。
memoizedState
用于创建输出的 fiber 的状态。 处理更新时,它反映了当前渲染在屏幕上的内容的 state。
memoizedProps
在上一次渲染期间用于创建输出的 fiber 的 props 。
pendingProps
在 React element 的新数据中更新并且需要应用于子组件或 DOM 元素的 props。(子组件或者 DOM 中将要改变的 props)
key
唯一标识符,当具有一组 children 的时候,用来帮助 React 找出哪些项已更改,已添加或已从列表中删除。 与这里所说的React的 “列表和key” 功能有关
你可以在这里找到 fiber节点的完整结构。 在上面的说明中,省略了很多字段。
尤其是跳过了构成树结构的 child 指针, sibling 指针和 return 指针。
[这些结构我在 上一篇文章 中有所描述。 ]
以及专门针对 Scheduler 的 expirationTime , childExpirationTime 和 mode 等字段类别。
通用算法
React 执行工作分为两个主要阶段:render 和 commit。
在 render 阶段,React 通过 setState 或 React.render 有计划的将更新应用于组件,并找出需要在 UI 中更新的内容。
如果是初始渲染,React 会为 render 方法返回的每个元素创建一个新的 fiber 节点。在后续更新中,现有 React 元素的 fiber 节点将被复用和更新。
**该阶段的执行的结果是带有 effect 的 fiber 节点树。**effect 描述了在下一个 commit 阶段需要完成的工作。
当前阶段,React 会绘制一棵标记有 effect 的 fiber 树,并将其应用于实例。它遍历 effect 链表并执行 DOM 更新和用户可见的其他更改。
理解 render 阶段的工作可以异步执行,对我们而言非常重要。React 可以根据可用时间来处理一个或多个 fiber 节点,然后中断并且暂存已完成的工作,转去处理某些事件,接着它再从它停止的地方继续执行。
但有时候,它可能需要丢弃完成的工作然后重新从头开始。
由于在此阶段执行的工作不会导致任何用户可见的更改(例如DOM更新),所以才可以实现这些暂停。
(译者注:因为 React 的一致性,所以不可能给用户呈现渲染到一半的组件,这样意味着这个阶段执行的所有 work 都是用户不可见的。)
与之相反的是,后续的 commit 阶段始终是同步的。这是因为在此阶段执行的工作会导致用户可见的更改,例如 DOM 更新。这就是为什么 React 需要一次性完成这些操作。
调用生命周期方法是 React 的工作之一。一些方法是在 render 阶段调用的,而另一些方法则是在 commit 阶段调用。
这是在第一个 render 阶段工作时,调用的生命周期列表:
- [UNSAFE_]componentWillMount (deprecated)
- [UNSAFE_]componentWillReceiveProps (deprecated)
- getDerivedStateFromProps
- shouldComponentUpdate
- [UNSAFE_]componentWillUpdate (deprecated)
- render
如你所见,在16.3版本中,在 render 阶段执行的一些遗留的生命周期方法被标记为 UNSAFE 。
(译者注:这里的 “unsafe” 不是指安全性,而是表示使用这些生命周期的代码在 React 的未来版本中更有可能出现 bug,尤其是在启用异步渲染之后。参考官方文档)
现在在文档中它们被称为遗留 (legacy lifecycles) 生命周期。将在以后的 16.x 发行版中弃用,而没有 UNSAFE 前缀的对应版本将在 17.0版本中移除。
你可以在这里详细的了解这些更改,以及建议的迁移路径。
你是否对此感到好奇?
好吧,我们刚刚了解到,由于 render 阶段不会产生诸如 DOM 更新之类的 effect,因此 React 可以异步处理组件的异步更新(甚至可能在多个线程中进行)。
但是,标有 UNSAFE 的生命周期经常被误解和巧妙地滥用。开发人员倾向于将带有 effect 的代码放在这些方法中,这可能会导致新的异步渲染方法出现问题。
Although only their counterparts without the UNSAFE prefix will be removed, they are still likely to cause issues in the upcoming Concurrent Mode (which you can opt out of).
(译者注:这一段并不是忘记翻译,我对作者描述的内容还有疑问,已经在沟通中,后续会同步到 frontendwingman 的章节中)
接下来罗列的生命周期方法是在第二个 commit 阶段执行的:
- getSnapshotBeforeUpdate
- componentDidMount
- componentDidUpdate
- componentWillUnmount
因为这些方法都在同步的 commit 阶段执行,他们可能会包含 side-effects ,并且操作DOM。
好的,现在我们拥有了背景之后,让我们继续深入研究,用于遍历树和执行 work 的通用算法 。
Render 阶段
协调算法始终使 renderRoot 函数从最顶层的 HostRoot fiber 节点开始。 但是,React 会退出(跳过)已经处理的 fiber 节点,直到找到工作未完成的节点。
例如,如果你在组件树的深处调用 setState ,React将从顶部开始,但会快速跳过父级,直到它到达调用了 setState 方法的组件。
WorkLoop 的主要步骤
所有的 fiber 节点都会在 work loop. 中进行处理。如下是该循环的同步部分的实现:
function workLoop(isYieldy) {
if (!isYieldy) {
while (nextUnitOfWork !== null) {
nextUnitOfWork = performUnitOfWork(nextUnitOfWork);
}
} else {
...
}
}
在上面的代码中, nextUnitOfWork 持有对 workInProgress 树中 fiber 节点的引用。
该节点需要完成一些工作。 当 React 遍历 Fibers 树时,它通过此变量来判断是否还有其他未完成的 fiber 节点。
处理完当前光纤后,该变量将包含对树中下一个光纤节点的引用或为“ null”。 在这种情况下,React退出工作循环并准备提交更改。
处理过当前 fiber 后,变量将持有树中下一个 fiber 节点的引用或 null 。在为 null 的情况下,React 退出工作循环并准备好提交更改。
有四个主要函数用于遍历树并初始化或完成工作:
为了演示他们的使用方法,请看以下遍历 fiber 树的动画。我演示中使用了这些函数的简化实现。
每个函数都需要对一个 fiber 节点进行处理,当 React 顺着树往下遍历时,当前活动的 fiber 节点发生了变化。
图中可以清楚地看到,算法是如何从一个分支转到另一个分支。
在回溯到父节点之前,它首先完成子节点的 work,。

注意,垂直方向连线表示同级(sibling 兄弟节点),而弯曲的连接表示子级,例如
b1没有孩子,而b2有一个孩子c1。(译者注,图中的树结构,按照正常的从顶到根的顺序排列的话,应该是从左往右看)
这里 是视频的链接,你可以暂停播放并检查当前节点和函数状态。
从概念上讲,你可以将 “开始 (begin)” 视为 “进入 (stepping into)” 组件,而将“完成 (complete)” 视为 “离开 (stepping out)” 组件。
当我解释这些功能时,你也可以在 这里 体验示例和实现。
我们从 performUnitOfWork 和 beginWork 开始:
function performUnitOfWork(workInProgress) {
let next = beginWork(workInProgress);
if (next === null) {
next = completeUnitOfWork(workInProgress);
}
return next;
}
function beginWork(workInProgress) {
console.log('work performed for ' + workInProgress.name);
return workInProgress.child;
}
performUnitOfWork 函数从 workInProgress 树接收一个 fiber 节点,并通过调用 beginWork 开始工作,此函数将启动 fiber 需要执行的所有活动。
出于演示的目的,我们只打印出 fiber 节点的名称表示 work 已经完成。
**函数 beginWork 总是返回指向在循环中处理的下一个 child 的指针,或返回 null **
如果下一个 child存在,它将被赋值给 workLoop 函数中的变量 nextUnitOfWork 。
然而,如果不存在,React 就知道自己到达了分支的末尾,因此它可以完成当前节点。
**一旦节点完成,它将需要为同层的其他节点( siblings )执行工作,并在完成后回溯到父节点。**这些都在 completeUnitOfWork 函数中完成:
function completeUnitOfWork(workInProgress) {
while (true) {
let returnFiber = workInProgress.return;
let siblingFiber = workInProgress.sibling;
nextUnitOfWork = completeWork(workInProgress);
if (siblingFiber !== null) {
// If there is a sibling, return it
// to perform work for this sibling
return siblingFiber;
} else if (returnFiber !== null) {
// If there's no more work in this returnFiber,
// continue the loop to complete the parent.
workInProgress = returnFiber;
continue;
} else {
// We've reached the root.
return null;
}
}
}
function completeWork(workInProgress) {
console.log('work completed for ' + workInProgress.name);
return null;
}
从实现中可以看出, performUnitOfWork 和 completeUnitOfWork 主要用于迭代目的,而主要活动则在 beginWork 和 completeWork 函数中进行。
该函数的核心是一个很大的 while 循环。
当一个 workInProgress 节点没有子节点时,React进入这个函数。完成当前 fiber 节点的工作后,它会检查是否存在同级。
如果找到,React 退出函数并返回指向同级的指针。返回的指针将被赋值给 nextUnitOfWork 变量,React将从同级节点开始为分支执行工作。
需要重点理解的是,React 目前仅完成了之前的同级节点 ( siblings ) 的工作。尚未完成父节点的工作。
只有子节点的所有分支都完成后,它才能完成父节点和回溯的工作。
实现中还可以看到, performUnitOfWork 和 completeUnitOfWork 两者的主要目的都是迭代,而活动主要发生在 beginWork 和 completeWork 函数中。
在本系列的后续的文章中,我们将了解React进入 beginWork 和 completeWork 函数后, ClickCounter 组件和 span 节点会发生什么。
Commit 阶段
这一阶段从函数 completeRoot 开始。这也是 React 更新 DOM 并调用预更新 (pre-mutation) / 更新生命周期方法的地方。
当 React 进入这一阶段时,它有 2 棵树和 effect 链表。 第一棵树表现当前在屏幕上呈现的状态。
然后在 render 阶段构建另一棵备用树。
它在源代码中称为 finishedWork 或 workInProgress ,表示将要映射到屏幕上的状态。
此备用树会用类似的方法通过 child 和 sibling 指针链接到 current 树。
然后,有一个 effect 链表(它是 finishedWork 树的节点子集),通过 nextEffect 指针进行链接。
需要记住的是,effect 链表是 render 阶段运行的结果。
render 的最终目的就是确定那些需要插入、更新或删除的节点,以及哪些组件需要调用其生命周期方法。
这正是 effect 链表要告诉我们的,而且它就是在 commit 阶段迭代的节点集。
为了调试,可以通过 fiber root 的
current属性访问current树。 可以通过current 树中的HostFiber节点的alternate属性来访问finishedWork树。
在 commit 阶段运行的主要函数是commitRoot。基本上,它执行以下操作:
- 在标记
Snapshoteffect 的节点调用getSnapshotBeforeUpdate生命周期。 - 在标记
Deletioneffect 的节点调用componentWillUnmount生命周期。 - 执行
DOM的所有插入、更新、删除操作。 - 将
finishedWork树设置为current。 - 在标记
Placementeffect 的节点调用componentDidMount生命周期。 - 在标记
Updateeffect 的节点调用componentDidUpdate生命周期。
在调用预更新 (pre-mutation) 方法 getSnapshotBeforeUpdate 之后,React 提交了树中的所有 side-effect。
分两步走:
第一步,执行所有 DOM(宿主)的插入、更新、删除和 ref 卸载。
然后 React 将 finishedWork 树赋值给 FiberRoot 。
将 workInProgress 树标记为 current 树。
这些在 commit 阶段的第一波之后完成。
所以在 componentWillUnmount 期间前一棵树仍然是 current 树。
但这些都发生在第二步之前,所以在 componentDidMount/Update 期间 finished work 是 current 。
第二步,React 调用所有其他生命周期方法和 ref 回调。这些方法作为一个单独的过程,使整个树中的所有插入,更新和删除操作均被执行。
这是运行上述步骤的函数的要点:
function commitRoot(root, finishedWork) {
commitBeforeMutationLifecycles()
commitAllHostEffects();
root.current = finishedWork;
commitAllLifeCycles();
}
这些子函数中的每一个都实现了一个循环,该循环遍历 effect 链表 并检查 effect 类型。 当发现与函数目的有关的 effect 时,就会执行。
预更新生命周期方法 Pre-mutation lifecycle methods
例如,下面是在 effect 树上迭代并检查节点是否具有 Snapshot effect 的代码:
function commitBeforeMutationLifecycles() {
while (nextEffect !== null) {
const effectTag = nextEffect.effectTag;
if (effectTag & Snapshot) {
const current = nextEffect.alternate;
commitBeforeMutationLifeCycles(current, nextEffect);
}
nextEffect = nextEffect.nextEffect;
}
}
对于类组件,这个 effect 意味着调用 getSnapshotBeforeUpdate 生命周期方法。
DOM 更新
commitAllHostEffects 是 React 执行 DOM 更新的函数。该函数基本上定义了节点需要完成的操作类型,并执行这些操作:
function commitAllHostEffects() {
switch (primaryEffectTag) {
case Placement: {
commitPlacement(nextEffect);
...
}
case PlacementAndUpdate: {
commitPlacement(nextEffect);
commitWork(current, nextEffect);
...
}
case Update: {
commitWork(current, nextEffect);
...
}
case Deletion: {
commitDeletion(nextEffect);
...
}
}
}
有意思的是,React 调用 componentWillUnmount 方法作为 commitDeletion 函数删除过程中的一部分。
更新后的生命周期方法 Post-mutation lifecycle methods
commitAllLifecycles 是 React 调用余下所有生命周期方法 componentDidUpdate 和 componentDidMount 的函数。
终于完成了。 让我知道你对本文的看法或在评论中提出问题。 查看该系列的下一篇文章 [React中 state 和 props 更新的深入说明](https://indepth.dev/in-depth-explanation-of-state-and-props-update-in-react/)。
我还有更多文章,为调度程序,children 协调过程以及 effect 链表 的构建方式提供了深入的解释。 还计划做个视频,展示如何以本文为基础调试应用程序。